The Australian share market looks set to open lower this morning as Wall Street reversed their earlier gains. European stocks extended their end-of-year rally high in anticipation of fresh stimulus and as their Covid-19 vaccination program got under way. Tech stocks in the US were mixed with Google and Apple shares down. Netflix on the other hand was up. The company is projected to spend $19 billion on video content in 2021. That’s up 10 per cent from $17.3 billion spent in 2020.
MarketsWall Street lower: The Dow Jones Industrial Average lost 0.2 per cent to 30,336, the S&P 500 down 0.2 per cent to 3727 and the NASDAQ closed 0.4per cent lower at 12,850..
European markets last closed mixed, London’s FTSE added 1.6 per cent, Paris gained 0.4 per cent and Frankfurt closed 0.2 per cent lower.
Asian markets closed mixed, Tokyo’s Nikkei added 2.7 per cent, Hong Kong’s Hang Seng added almost 1 per cent and China’s Shanghai Composite closed 0.5 per cent lower.
Taking all of this into equation, the SPI futures are pointing to a 30 point loss.
Yesterday, the Australian share market closed 0.5 per cent higher or 36 points higher at 6,700.
Company newsBiotech company Immutep
(ASX:IMM) has secured the United States patent for Eftilagimod Alpha in combination with a PD-1 pathway indicator. It’s entitled “Combined Preparations for the Treatment of Cancer or Infection” by the United States Patent & Trade Mark Office. This United States patent follows the grant of the corresponding European patent announced in November 2018. The expiry date of the patent is 8 January 2036. Shares in Immutep
(ASX:IMM) closed flat yesterday at $0.39.
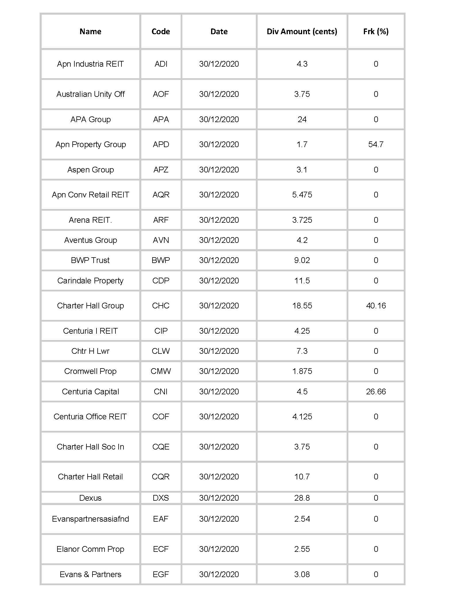
Dividends.jpg)
.jpg)
CurrenciesOne Australian Dollar at 8:30 AM was buying 76.10 US cents, 56.35 Pence Sterling, 78.81 Yen and 62.14 Euro cents.
Commodities Iron Ore futures suggest 5.1 per cent fall.
Gold has lost $1.10 to US$1882 an ounce.
Silver was up $0.12 to US$26.34 an ounce.
Oil flat at US$48.00 a barrel.